來源:韓研活性炭網 作者:韓研活性炭網 2017-12-05
納米級活性炭去除鈾,活性炭納米級零價鐵顆粒是通過吸附在活性炭上的檸檬酸鐵三水合物的真空熱處理合成的,已經過從天然和合成水中去除鈾(U)的測試。對兩種類型的活性炭納米級零價鐵進行了測試,一個在600℃下真空退火4小時,另一個在700℃下真空退火4小時,與通過使用硼氫化鈉還原亞鐵而合成的nZVI相比,其U去除行為。分批系統在28天的反應期內進行分析,在此期間定期分析液體和納米顆粒固體以確定溶液和顆粒的化學演變。
近年來,活性炭載入納米鐵作為廢水處理的新工具被研究。相比ZVI在可滲透反應屏障常用(粒徑> 0.1微米),具有顯著更大的表面積與體積比,并且最終,顯著提高對于污染物的吸附。它們的膠體尺寸也使得它們的展開具有靈活性,這是因為它們在多孔介質的概念性高流動性以及它們在幾乎任何位置和深度的地面地下水系統中的注入潛力。迄今為止研究的材料包括粒狀活性炭支持的零價鐵,多壁碳納米管支持的nZVI和石墨烯支持的nZVI,記錄的含水污染物吸附/降解能力顯著改善。
活性炭材料的制造方法
所需的化學品(活性炭,鐵硫酸鹽(硫酸亞鐵·7H 2 O),檸檬酸鐵三水合物的[2Fe(C 6 H ^ 5 ? 7)·H 2 O],硝酸(HNO 3),硼氫化鈉(添加NaBH 4),鈉本研究中使用的氫氧化物(NaOH),乙酸鈾酰[UO 2(CH 3 COO)2 ·2H 2 O]和溶劑[乙醇,丙酮]]為分析級,所有溶液均使用純化水(電阻率> 18.2MΩcm)。
活性炭納米粒子合成
活性炭載nZVI是根據下述方法的改進合成的。將37.01g三水合檸檬酸鐵[2Fe(C 6 H 5 O 7)·H 2 O]和5g活性炭在500mL 純化水(25℃,電阻率18.2MΩcm)中合并并攪拌過夜使用90 RPM的DOS-10L。然后將得到的活性炭納米顆粒漿液傾倒入10-mL離心小瓶中,并在V6500臺式離心機中以6500RPM離心30秒。棄去上清液,將濕納米顆粒粉末轉移至真空干燥器中,以1×10 -3毫巴。然后將所得顆粒分離成兩個單獨的2-g批次,并分別在600和700℃的真空(<1×10 -3毫巴)下加熱4小時,加熱和冷卻升溫速率約為10℃分鐘-1。

圖1、透射電子顯微鏡(TEM):真空退火前的活性炭納米級零價鐵(上圖), 在600℃真空退火4小時(從頂部開始第二個)后;,活性炭真空退火后。
活性炭納米顆粒的初步表征
退火溫度在600和700℃的真空下形成的活性炭納米材料,以便形成的Fe 0優先于它的氧化物。與活性炭材料相比,BET表面積分析記錄了吸附在活性炭上的檸檬酸鐵的較低表面積。這歸因于檸檬酸鐵吸附引起的活性炭孔隙率的降低。記錄活性炭表面積的增加,這歸因于在真空退火期間各個納米顆粒的擴散結合。因此,對于測試的真空退火時間尺度,發現4小時的熱處理時間以產生最佳表面積的材料。

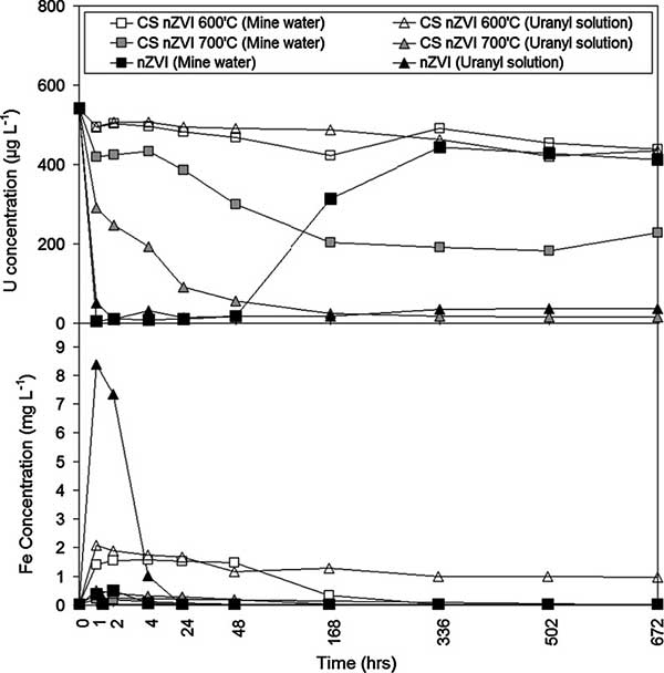
圖2、溶液鈾和鐵濃度隨著反應時間(0-672小時)的變化,含有當前工作中使用的不同活性炭的批量處理。
水溶液中鈾和鐵濃度的變化使用ICP-MS分析期間間隔提取的含水樣品記錄了使用在600℃形成的活性炭(圖6)處理的兩批系統(礦水和僅含鈾的溶液)中的有限的鈾去除 。在700℃形成的活性炭表現出改善的鈾去除,在反應時間168小時(1周)之后記錄僅鈾酰溶液的鈾(aq)的幾乎全部去除,并且最大去除67在反應時間502小時(3周)后記錄礦井水的%。
在700℃合成的活性炭記錄的最大鈾除去量低于硼氫化物還原的零價鐵。這部分歸因于Fe 0的質量百分比較低在前者材料中。另外,鈾吸收的動力學記錄為活性炭較慢,表明鈾吸附表面位置的密度較低。盡管如此,在700℃下合成的活性炭記錄了在實驗的后期(> 7天)中較低的鈾解吸。這種差別鈾吸收行為的具體機制仍不清楚。
溫馨提示:任何網站、媒體轉載本站原創文章則一定要寫明文章出處為:韓研活性炭網(www.ygmachine.cn),違者追究其法律責任。最終解釋權歸廣東韓研活性炭網所有,如有疑問請與我站編輯部的聯系,電話:020-39972520。
- [ 2023-01-29 ]活性炭吸附作用怎么來的
- [ 2023-01-22 ]怎么選擇木質粉狀活性炭廠家
- [ 2023-01-21 ]廢氣處理蜂窩活性炭怎么用
- [ 2023-01-20 ]木質柱狀活性炭有什么優勢
- [ 2023-01-19 ]制氮機用活性炭規格參數
- [ 2023-01-18 ]活性炭吸附次氯酸鈉
- [ 2023-01-17 ]去余氯活性炭的去除原理
- [ 2023-01-16 ]活性炭用于黃金回收-黃金炭
- [ 2023-01-15 ]活性炭復合泡沫材料
- [ 2018-12-18 ]活性炭負載氧化鐵對辛醇的氧化
主營:活性炭;椰殼活性炭;煤質活性炭;木質活性炭;果殼活性炭;蜂窩活性炭;活性炭纖維;凈水活性炭;水處理材料;空氣凈化材料.
FAQ熱門推薦
- 1、椰殼凈水活性炭哪家好?
- 2、椰殼凈水活性炭多少錢?
- 3、果殼活性炭多少錢?
- 4、購買凈水活性炭,找凈水活性炭…
- 5、果殼活性炭什么牌子好?
- 6、木質粉狀活性炭哪家好?
- 7、木質粉狀活性炭什么牌子好?
- 8、木質粉狀活性炭多少錢?
- 9、活性炭的作用幾小時生效?
- 10、蜂窩活性炭哪家好?



